質量分析屋の髙橋です。質量分析計特にGCやLCとのハイフネーション装置であるGC-MSやLC-MSは、現在定量分析に多く用いられています。しかし質量分析は、元々は定性分析のための機器分析法であり、そのためにはマススペクトル特にフラグメントイオンの解析は重要です。
電子イオン化(electron ionization)については 以前のブログに書きましたが、GC/MSに用いられているイオン化法であり、そのマススペクトルで観測されるフラグメントイオンの解析については、「有機マススペクトロメトリー入門」を始め幾つかの良書があります。また、EIで得られたマススペクトルは、NISTやWilleyなどの豊富なマススペクトルライブラリーによって、その解析の難易度は比較的低く感じられます。実際には、そんな事はないのですが...
EIでは、気化した試料分子に熱電子を照射し、分子から電子が1つ脱離した分子イオンや、それが断片化したフラグメントイオンが観測されます。分子は中性状態で必ず偶数個の電子をもつため、分子イオンは奇数個の電子をもつ奇数電子イオンです。
一方、LC/MSに用いられているエレクトロスプレーイオン化(electrospray ionization, ESI)や大気圧化学イオン化(atmospheric puressure chemical ionization, APCI)で生成するイオンは、分子にプロトンやナトリウムイオンが付加した、あるいは電子からプロトンが脱離したイオンなどが主であり、これらは中性分子と同じ電子状態即ち偶数電子イオンです。偶数電子イオンは中性分子と同じ電子状態であるため安定で、定性分析のためにはMS/MS(プロダクトイオン分析)が用いられます。LC/MS/MSにおけるプロダクトイオン分析には、低エネルギー状態での衝突誘起解離(collision induced dissociation, CID)が殆どの場合に用いられます。奇数電子イオンと偶数電子イオンとは、電子状態が異なるため、開裂の仕方(フラグメンテーション)も異なる場合があります。
今回から何回かに分けて、偶数電子イオンのフラグメンテーションについて、低エネルギーCIDを中心に解説します。フラグメンテーションは、分子(イオン)内の結合の開裂によって起こります。共有結合(単結合)は電子2個によって成り立ち、結合の開裂とは即ち電子の動きです。+の電荷をもつ正イオンの場合、フラグメンテーションは、-の電荷をもつ電子が正電荷に向かって動く事により起こります。
よく観測される例を見てみましょう。
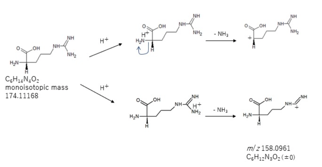
図1は、アミノ酸の一種であるアルギニンのプロトン付加分子([M+H]+, m/z 175)をプリカーサーイオンとしたプロダクトイオンスペクトルです。

図1 アルギニンのプロトン付加分子のプロダクトイオンスペクトル
測定に用いた装置は、Q-Exactiveです。図1中のm/z 158.0916イオンは、プリカーサーイオンとのm/z差が約17なので、アンモニア(NH3)の脱離に相当します。このフラグメンテーションは、図2のように説明する事ができます。

図2 アルギニンのプロトン付加分子からm/z 158イオンが生成する推定機構
プロトンが付加する位置は、非共有電子対をもつ原子が最も可能性が高く、プロトン親和力が支配的です。アルギニンには複数の窒素と酸素がありますが、2つの1級アミノ基の窒素が最も高いプロトン親和力をもつと考えて良いでしょう。アミノ基にプロトンが付加し、その正電荷に向かって隣の結合の電子が2つとも動く事により、アミノ基は中性のアンモニアとして脱離し、根元の炭素は電子が1つ足りない状態になるため正電荷をもちイオンになります。1級アミノ基は2つあるため、アンモニアが脱離してm/z158イオンが生成するプロセスは、図2に示す両方の可能性があります。この種のフラグメンテーションは、水酸基にプロトンが付加してH2Oが脱離するプロセスも同様で、頻繁に観測されます。それについては、次回解説する予定です。
