質量分析屋の髙橋です。前回の記事に引き続き、LC/MS/MSによるプロダクトイオン分析で見られるフラグメンテーションについて解説します。今回は、偶数電子イオンのフラグメンテーション-2というタイトルにしていますが、恐らくは偶数電子イオンに特化したものではなく、LC/MS/MSで用いられる開裂法である低エネルギーCIDにおけるフラグメンテーションの考え方になります。
フラグメンテーションの基本的な考え方は、図1に示すポテンシャルエネルギー曲線によって説明できます。

図1 フラグメンテーションにおけるポテンシャルエネルギー曲線
あるイオンにCID等によってエネルギーが与えられる時、そのイオンの内部エネルギーが、イオンの中の結合が開裂する反応(フラグメンテーション)の活性化エネルギーを超えるとそのフラグメンテーションが起こります。低エネルギーCIDは、例えば四重極コリジョンセルを用いる場合、プリカーサーイオンは数eV~最大200 eV程度の運動エネルギーでHeやXeを充満したコリジョンセルに導入され、低いエネルギーで何度も衝突繰り返す事で徐々に内部エネルギーが上昇する。そして、最も低い活性化エネルギーを超えたところでそのフラグメンテーションが起こります。一つのイオンから複数のフラグメンテーションが起こり得るとき、低エネルギーでは最も低い活性化エネルギーのフラグメンテーションのみが起こり、それ以外のフラグメンテーションは基本的には起こり得ません。しかし、低分子化合物にしろペプチドにしろ、フラグメントイオンが1つしか生成しないという例は殆どありません。
前回も用いたアルギニンのプロトンが付加のプロダクトイオンスペクトルを図2に示します。

図2 アルギニンのプロトン付加分子のプロダクトイオンスペクトル
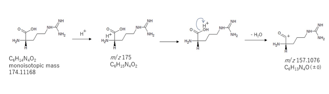
逐次反応によって複数のフラグメントイオンが観測される事は有り得ますが、それだけではこれだけ多くのフラグメントイオンが生成する事は説明できません。前回の記事に書いたように、プロトン付加分子のフラグメンテーションは、プロトンが付加した原子(正電荷)に対して近隣の結合の電子が動くことによって起こります。イオン化の際にプロトンが付加する原子は、プロトン親和力が支配的なので、アルギニンの場合は2つの1級アミノ基の窒素に限定される筈です。図2で観測されているm/z 157イオンは、プリカーサーイオンとのm/z 差が約18であり、H2Oの脱離によって生成すると考えられます。H2O脱離は、図3に示すように、カルボキシ基の水酸基上にあるプロトンに対して隣の結合の電子が二つとも動く事によって起こると考えられます。

図3 アルギニンのプロトン付加分子からの脱水反応の推定機構
では、イオン化の際にカルボキシ基の水酸基酸素にプロトンが付加するのか?
それは恐らくNoです。上述したように、イオン化の際にプロトンが付加するのは、2つの1級アミノ基の窒素に限定される筈です。そして、CIDによって励起状態になったとき、プロトンが水酸基に移動し、図3に示すフラグメントイオンが起こったと推測されます。このようなフラグメンテーションに先立ってプロトンが分子内を移動する現象は、ペプチドでは°mobile proton°として報告例があります1)。低分子化合物においても、ペプチドと同様なmobile proton現象は起こり得ると考えて良いでしょう。
文献
1) R. Boyd and A. Somogyi, J. Am. Soc. Mass Spectrom., 21, 1275-1278 (2010).
